TEAS 7 Math Practice 1 Quiz
Practice 1
-
At a college 38% of the employees are instructors, 15% are maintenance and custodial, 20% are staff members, and the rest of the employees are in administrative positions. What percentage of the college's employees work in administration?
A. 27%
B. 63%
C. 58%
D. 42%
Correct Answer
Subtract the given percentages from 100 (100%) to find the percentage that is left. This will represent the percentage of employees in administration because the problem states that the rest of the employees are in administration.
100-38-15-20=27
Therefore 27% of the employees at this college work in administration.
Simon is 5.75 feet tall. The 5 represents five feet. How many inches does the 0.75 portion of the measurement represent?
A. 7.5
B. 8
C. 8.5
D. 9
Correct Answer
To convert feet to inches, multiply the feet by 12. However, based on the wording of the question, we are not concerned with the 5 feet, but only the 0.75 feet.
0.75 × 12 = 9
Therefore, 5.75 feet is equivalent to 5 feet 9 inches.
Think about this too. 5 9/12=5.75because9÷12=0.75
If a bulk package of paper towels contains 48 rolls and costs $132, how much does a half dozen rolls cost?
A. $2.75
B. $33.00
C. $16.50
D. $8.25
Correct Answer

Which of the following is not equivalent to 75%? Select all that apply.
A. 3/4
B. 150/200
C. 0.075
D. 0.75
Correct Answer
75% is equivalent to 0.75 and all of the answer choices with the exception of 0.075 are equivalent. Both the of the fractions given, when divided, also equals 0.75. Therefore, this is only one choice that is not equivalent to 75%.
A brownie costs 45 cents to make and a baker sells them for $1.25 each. A cupcake costs 60 cents to make and the baker sells them for $1.50 each. Which expression represents the profit that the baker makes off of selling b brownies and c cupcakes?
A. 1.25b + 1.50c
B. 0.45b + 0.60c
C. 1.70b + 2.10c
D. 0.80b + 0.90c
Correct Answer
To find the profit, subtract the cost to make each item from the price that the item is sold for.
A brownie sells for $1.25 but costs $0.45 to make. The profit from one brownie is $0.80 (1.25 - 0.45).
A cupcake sells for $1.50 but costs $0.60 to make. The profit from one cupcake is $0.90 (1.50 - 0.60).
The total profit from b brownies and c cupcakes is the sum of their profits, which is 0.80b + 0.90c. This is our answer.
You may wonder, where do the b and c come into the expression? How much profit would a baker make from selling two brownies and three cupcakes? Since the profit from one brownie is 80 cents, the two brownies would have a profit of $1.60 (0.80 × 2). The profit from the three cupcakes would be $2.70 (0.90 × 3). The total profit would be $4.30. See the expression below where 2 is substituted for b and 3 is substituted for c (the number of brownies and cupcakes respectively).
0.80b + 0.90c
= 0.80(2) + 0.90(3)
= 1.60 + 2.70
= 4.30
The number of kernels popped in a bag of popcorn and the time the popcorn is cooked models a positive relationship. Which of the following is the independent variable?
A. Number of kernels popped
B. Cooking time
C. Microwave wattage
D. Brand of popcorn
Correct Answer
The number of kernels popped depends on the cooking time.
Therefore, the number of kernels popped is the dependent variable.
Cooking time is the independent variable.
Catherine can read 2 pages of a book in 1 minute and 45 seconds. How many pages can she read in 12 minutes? Round to the nearest whole number.
A. 11
B. 12
C. 13
D. 14
Correct Answer

You could also convert 1 minute and 45 seconds to just seconds, which would be 105 seconds. You can then convert 12 minutes to seconds, which is 720 seconds. You could then apply the fast approach mentioned
Arrange the following numbers in increasing order.
-64, -63, -48, -13, -2
A. -64, -63, -48, -13, -2
B. -2, -13, -48, -63, -64
C. -2, -13, -48, -64, -63
D. -48, -63, -64, -13, -2
Correct Answer
It just so happens that the order in which the numbers are originally given are already in increasing order. The "more" negative a number is, the smaller that number is. In this case, -64 is the smallest amount in the list and -2 is the largest amount in the list.
-64, -63, -48, -13, -2
Which of the following could not be the measures of the three sides of a right triangle?
A. 5 yd, 12 yd, 13 yd
B. 8 ft, 17 ft, 15 ft
C. 53 cm, 45 cm, 26 cm
D. 35 in, 12 in, 37 in
Correct Answer
Take note that the longest of the three sides given for each answer choice must be the hypotenuse, c, when using the Pythagorean Theorem. The other two sides can be a and b, which are the legs of the right triangle.
The Pythagorean Theorem is a2+b2=c2.
The choice that does not satisfy the Pythagorean Theorem is 53 cm, 45 cm, 26 cm. Take note that c must be 53 (the longest side).
a2+b2=c2
452+262≠53c2
2025+676≠2809
All of the other choices will satisfy the Pythagorean Theorem. Check all of the following below to verify.
52+122=132
82+152=172
352+122=372
Which of the following is equivalent to 42/15?
A. 28%
B. 2.8%
C. 280%
D. 0.28%
Correct Answer
We are given a fraction of 42/15. Dividing the numerator by the denominator is a quick way to convert a fraction to a decimal. Therefore, 42 ÷ 15 = 2.8, but we must be careful here. Notice our answer choices are all in percent form. We need to convert 2.8, which is the decimal representation of 42/15, to a percent. To convert a decimal to a percent, you can multiply by 100 or move the decimal two places to the right. Either way is fine. Therefore, 42/15 = 2.8 = 280%.
Arrange the numbers in descending order.
1.1, 1.01, 1.4, 1.39, -1.2, -1.195, -0.999
Correct Answer
Descending order means greatest to least, which is the following:
1.4, 1.39, 1.1, 1.01, -0.999, -1.195, -1.2
Remember, the more negative a number is, the smaller it is. Think about money!
Sarah's small list of groceries and the price of each item is listed below. Which choice is the best estimate for the total cost of Sarah's groceries, excluding tax? When estimating in this example, round each price to the nearest dollar before adding all of the prices together.
- 1 gallon of milk - $1.59
- 2 boxes of cereal - $2.12 per box
- 3 pounds of apples - $3.79 per pound
A. $18
B. $17
C. $8
D. $7
Correct Answer
- 1 gallon of milk - $ 1.59
- 2 boxes of cereal - $2.12 per box
- 3 pounds of apples - $3.79 per pound
Round each price to the nearest dollar first. This is typically how estimation is done. You do not add the values first and then round. This defeats the purpose of estimation.
1 gallon of milk is approximately $2.00.
1 box of cereal is roughly $2.00.
1 pound of apples is roughly $4.00.
Ensure you account for two boxes of cereal and three pounds of apples.
Therefore, we have $2.00$2.00 for the 1 gallon of milk, $4.00$4.00 for two boxes of cereal, and $12.00$12.00 for 3 pounds of apples, giving us an estimated total of $18.00$18.00.
Arrange the following numbers in ascending order.
-6/5, -125%, -0.01, -21/10
Correct Answer
Ascending order means least to greatest. Convert all of the values to decimal form and think about this in terms of money. Multiple explanations are provided below. The correct order is the following.
- -21/10 = -2.1 = -$2.10
- -125% = -1.25 = -$1.25
- -6/5 = -1.2 = -$1.20
- -0.01 = -$0.01
Negative numbers work the opposite of positive numbers. The more negative a number is (the farther it is to the left on a number line), the smaller the value is.
Why is -0.01 the largest value? Think of this as -1 cent. Being -1 cent in your bank account is better than any of the other values because they are more negative (smaller). If a number is negative, the closer that value is to zero, the larger it is. Again, always remember that negative numbers work the opposite of positive numbers.
If we were to convert all of these values to positive numbers, we would have 21/10, -125%, -6/5, and then -0.01, but these would now be in descending order (greatest to least). Negative numbers work the opposite of this. Therefore, throwing a negative in front of each value would now have the numbers in ascending order.
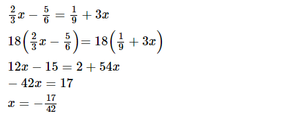
Solve the equation. If necessary, round your answer to the nearest tenth.
4(3x - 7) + 6x = 2x + 12
Correct Answer
There are multiple ways to solve an equation. The explanation below is one way. Your work may be different, but that is just fine, as long as you are getting the same solution.
4(3x - 7) + 6x = 2x + 12
Distribute on the left hand side of the equation.
12x - 28 + 6x = 2x + 12
Combine like terms on the left hand side.
18x - 28 = 2x + 12
Subtract 2x from both sides of the equation.
16x - 28 = 12
Add 28 to both sides of the equation.
16x = 40
Divide both sides of the equation by 16.
x = 2.5
The population of a town over the last 50+ years is documented in the given table. Which of the following is the approximate average rate of change of the population of the town from 1980 to 2000?

A. 1100 people per year
B. 990 people per year
C. 950 people per year
D. 970 people per year
Correct Answer
To find the average rate of change, find the difference in values and divide that by the difference in time. Only focus on the years 1980 and 2000. None of the other years matter.

If Payton can drive 150 miles in 90 minutes, how far can she drive in 3.5 hours?
A. 300 miles
B. 6 miles
C. 325 miles
D. 350 miles
Correct Answer
A proportion works fine, but make sure you match up the units of time. There are several ways to set this up correctly.
90 minutes is the same as 1.5 hours.

Jackie tracked the miles that she ran each day during the week. What was the range of miles that Jackie ran?

A. 5
B. 0
C. 4.5
D. 24.5
Correct Answer
The range is 5 miles.
Range = max - min = 5 - 0 = 5
A 20% gratuity is automatically applied to any party size over 8 at a restaurant. Jack and nine of his friends all had dinner together. The bill, before the tip, was $150.84. What is the best estimate for the tip?
A. $180
B. $30
C. $20
D. $170
Correct Answer
To find a tip amount, multiply the tip percentage by the price of the bill, before the tip. Take note that this gratuity is automatically added to the bill because there were more than eight people having dinner together.
150.84 × 20% = 150.84 × 0.20 ≈ $30.00. Take note that ≈ means approximately.
Which of the following is not equivalent to 0.2%?
A. 0.002
B. 1/500
C. 2 ÷ 100
D. 4 ÷ 2000
Correct Answer
0.2% is the same as 0.002 in decimal form. You can calculate this by dividing 0.2 by 100 or by moving the decimal two places to the left. Either way, it is the same.
1/500 = 1 ÷ 500 = 0.002
4 ÷ 2000 = 0.002
The only value that is not equal to 0.002 in our answer choices is 2 ÷ 100 because that is equal to 0.02, which is 2%.
Which of the following is/are equivalent to 3.245? Select all that apply.
A. 324.5%
B. 649/200
C. 0.03245%
D. 649/2
Correct Answer

3.245 is a decimal.
Convert a decimal to a percent by moving the decimal two places to the right or multiplying by 100.
You can check the fractions by dividing, which converts a fraction to a decimal. The explanation shown above shows how to convert between all three forms of a number (decimal to percent to fraction).
If the two legs of a right triangle are 8 ft and 15 ft, how long is the hypotenuse of this right triangle?
____ ft. Only enter a number. Round to the nearest whole number if necessary.
Correct Answer
The two legs of a right triangle represent side a and b in the Pythagorean Theorem and side c represents the hypotenuse. It does not matter which leg represents a, as long as the other leg represents b.
a2 + b2 = c2
82 + 152 = c2
64 + 225 = c2
289 = c2
To solve for side c, the hypotenuse, you need to take the square root of both sides of the equation. The square root of 289 is equal to 17. Therefore, the hypotenuse is equal to 17 ft.
What is 12% of 89? Round to the nearest tenth.
Correct Answer
Fast way? 12% of 89 = 12% × 89 = 0.12 × 89 = 10.68 ≈ 10.7
Notice we are told to round to the nearest tenth.
A soccer ball has been inflated to where it has a diameter of 9.4 inches. What is the volume of the soccer ball in cubic inches? Use 3.14 for 𜋠and round our answer to the nearest tenth. Only enter numbers and a decimal.
Correct Answer
Since the diameter is 9.4 inches, the radius of the soccer ball is 4.7 inches. We need to use this in the formula for the volume of a sphere. Also, note that we are instructed to use 3.14 for ðœ‹.

Based on the line graph, what year was the unemployment rate at a maximum? Only type in the four-digit year.

Correct Answer
The maximum is the highest point on the graph. The year 2010 had the highest unemployment rate.
The circumference of a circle is 32π feet. What is the area of the circle?
A. 64π square feet
B. 32π square feet
C. 1024π square feet
D. 256π square feet
Correct Answer
Use the formula for the circumference of the circle to find the diameter and/or the radius. After that, use the radius to find the area of the circle.

A person's credit score is determined by their payment history, length of credit history, and percent of credit used. Which of the following is the dependent variable?
A. Payment History
B. Credit Score
C. Length of Credit History
D. Percent of Credit Used
Correct Answer
The credit score is the dependent variable because:
- The credit score depends on the payment history.
- The credit score depends on the length of credit history.
- The credit score depends on the percentage of credit used.
What is your biggest fear? Out of 820 responses, drowning was the biggest fear with 264 votes, followed by public speaking which received 229 votes. One hundred seventy-nine people chose spiders, while 123 said skydiving. The remaining respondents said they did not fear anything. What percentage of the respondents said that they feared nothing? Round to the nearest percent if necessary.
A. 25%
B. 4%
C. 75%
D. 3%
Correct Answer
Start by subtracting all of the responses that picked drowning, public speaking, spiders, and skydiving from the total number of responses to determine the number of people that said they fear nothing.
820 - 264 - 229 - 179 - 123 = 25
This means 25 people said they feared nothing. However, this does not necessarily mean 25%. We interpret this by saying 25 out of 820 people said they feared nothing. We can think of this as a fraction, convert it to decimal, and finally a percent.
25/820 ≈ 0.0304878 ≈ 3%

Correct Answer
Multiply both sides of the equation by a common denominator. We will use 18 in this example, but any common denominator will work.

Arrange the following numbers in decreasing order:
-0.1, -10, -9.9, 0, -10.1, -0.5, -0.11
Correct Answer
Arrange the following numbers in decreasing order:
-0.1, -10, -9.9, 0, -10.1, -0.5, -0.11
Answer: 0, -0.1, -0.11, -0.5, -9.9, -10, -10.1
Remember, the more negative a number is, the smaller it is. Think about money!
Jackie tracked the miles that she ran each day during the week. What was the mean number of miles that Jackie ran?

A. 3 miles
B. 3.5 miles
C. 4 miles
D. 4.5 miles
Correct Answer
Add up all of the miles that Jackie ran each day and divide by 7 to find the mean. We divide by seven because there are seven days’ worth of data in the chart.
Total Weekly Miles Ran = 3+3.5+4.5+4.5+4+0+5 = 24.5 miles
Mean = 24.5÷7 = 3.5 miles
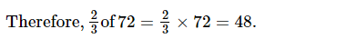
Out of 72 students taking a final exam in a class, one-third finished within the first hour. Three-fourths of those remaining after the first hour, completed the exam within the next hour. How many students were still working after 2 hours?
A. 12
B. 24
C. 32
D. 16
Correct Answer
Out of 72 students taking a final exam in a class, one-third finished within the first hour. Three-fourths of those remaining after the first hour, completed the exam within the next hour. How many students were still working after 2 hours?
Here is one of several approaches to solving this problem.
There are 72 students in all in the class. If one-third finished within the first hour, the remaining two-thirds did not.

This means that 48 students remain after the first hour. Since three-fourths of these remaining students completed the exam within the next hour, then one-fourth of them did not, which will also be our answer.

A father and his son love legos and they store them in a large bin. For every 16 yellow legos in the bin, there are 7 red legos. For every 3 green legos, there are 8 yellow legos. If there are a total of 132 green legos in the bin, how many red legos are there?
A. 154
B. 352
C. 253
D. 308
Correct Answer
Dimensional analysis is a great way to approach this problem because we are comparing multiple things (yellow, red, and green legos). To start dimensional analysis, create a fraction with what you are looking for at the top of the first fraction. We are trying to find RED legos so we will start off our problem with red legos at the top. We are told there are 16 yellow legos for every 7 red legos. Let's use that. Look at the first fraction below to see how it is written (7 red at the top and 16 yellow at the bottom). We will then put the yellow legos at the top of the next fraction, which will allow us to cancel out the yellow words. For that fraction, we will have 8 yellow legos at the top and 3 green legos at the bottom. Notice that is also given in the problem. Finally, to get rid of the green word at the bottom, we need to multiply by one additional fraction with green at the top. This is where we can put 132 green legos at the top, which represents the one bin of legos. Finally, you can multiply all of the top numbers and divide by all of the bottom numbers to get the answer.

The longer that a person runs on a treadmill, the more calories he/she will burn, causing them to sweat more and ultimately, lose weight over time. Which of the following is the independent variable?
A. Sweat amount
B. Exercise time
C. Calories burned
D. Weight loss
Correct Answer
Exercise time is the independent variable because all of the other variables depend on exercise time.
The calories burned depends on exercise time.
The sweat amount depends on exercise time.
The weight loss depends on exercise time.
If Brianna invests $4000 at 3.5% annual interest, how much interest will she earn in 6 years? Round to the nearest whole number if necessary. Only type in numbers. No dollar symbols. No commas. No decimals.
Correct Answer
This is an example of simple interest.
The formula for simple interest is the following: I = Prt
P = principal (starting amount)
r = annual interest rate
t = time in years
I (capital i) = interest earned
Solve for the interest earned, I, multiply the principal of $$4000 by the interest rate of 3.5% (0.035 in decimal form) and also by 6 (years).
I = 4000 × 0.035 x 6
I = 840
This is how much interest Brianna earned and since the question asked for that amount, the answer is $840.
What is the product of 7/6 and 10/9, rounded to the nearest hundredth?
A. 1.3
B. 1.29
C. 1.39
D. 1.2
Correct Answer

You may think that this is not rounded to the nearest hundredth. Considering that 70 divided by 54 is approximately 1.2962963, this would be 1.30 when rounded to the nearest hundredth. It is totally fine just to say 1.3 and it is still rounded correctly.
The longer that a person runs on a treadmill, the more calories he/she will burn, causing them to sweat more and ultimately, lose weight over time. All of the following variables are dependent except which one?
A. Sweat amount
B. Exercise time
C. Calories burned
D. Weight loss
Correct Answer
Exercise time is the independent variable because all of the other variables depend on exercise time.
The calories burned depends on exercise time.
The sweat amount depends on exercise time.
The weight loss depends on exercise time.
The following table illustrates what type of trend for the population of a town?

A. Positive
B. Negative
C. No relationship
D. Unable to determine
Correct Answer
As the years go up, the population went down. Each variable (year and population) heads in the opposite direction, which indicates that there is a negative relationship.
Which choice represents the following expression?
Six less than two-thirds of a number.

Correct Answer
Two-thirds of a number means that we need to multiply 2/3 by a number. The fraction, 3/2 is not two-thirds, but three-halves.
Six less than two-thirds of a number means that 6 needs to be subtracted, not the two-thirds. This is a common misconception. For example, what is six less than twenty? That is 14 right, because 20 - 6 = 14.

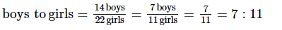
In a class of 36 students, there are 22 girls. What is the ratio of boys to girls?
A. 11:7
B. 7:11
C. 11:18
D. 7:18
Correct Answer
Be careful. The class has 36 students and 22 of them are girls. That means there are 14 boys. Now to find the ratio of boys to girls, you can create a fraction and simplify it. Order is very important.

Solve the equation.
−6x−5=−4

Correct Answer

The area of a circle is 64π cm2. What is the circumference of the circle?
Option A:
8π cm.
Option B:
16π cm.
Option C:
24π cm.
Option D:
32π cm.
Correct Answer
Start with the area of a circle and solve for the radius.

A train took 4 hours to travel 320 miles and it took an additional 3 hours to travel 195 miles. What was the average speed of the train for the entire trip? Round to the nearest whole number if necessary.
A. 72.5 mph
B. 72.6 mph
C. 73.5 mph
D. 73.6 mph
Correct Answer
A common mistake is to find the average speed of the two separate time intervals, and then find the average of those to values. That is not correct. To find the average speed of the entire trip, you need to take the total distance traveled and divide by the total time it took.
Therefore, the total distance was 515 miles (320+195), which took a total time of 7 hours (4+3).
